Vous avez un compte ?
Pourquoi créer un compte ?
La création d'un compte vous permet :
- de bénéficier d'un espace "Favoris",
- de télécharger certaines données publiées par RTE,
- d’accéder aux formulaires (certificat PKI, demande de code EIC, questionnaire client-KYC),
- d'activer des notifications.
Si vous êtes client RTE, n'hésitez pas à vous rapprocher de votre administrateur afin qu'il puisse vous permettre d'accéder aux services de votre société.
Dans un marché décentralisé, le prix de règlement des écarts est un signal prix important dont l’objectif est d’inciter les responsables d’équilibre (RE) à être équilibrés et/ou à équilibrer le système.
Conformément au Chapitre 3 « Dispositif de Responsable d’Equilibre » des Règles de Marché, le compte « ajustements-écarts » (CAE) centralise les produits et charges liés aux mécanismes d’équilibrage et au dispositif de responsable d’équilibre. Ce sont donc les responsables d’équilibre à l’origine des écarts de leur périmètre qui couvrent, sur la base du prix de règlement des écarts et proportionnellement à leur volume d’écart, les coûts liés à l’équilibrage du système électrique français. En outre, le prix de règlement des écarts possède un coefficient « k » qui permet d’assurer l’équilibre du solde du CAE et de renvoyer un signal prix incitatif pour que les RE exercent leur responsabilité financière à équilibrer leur périmètre.
Calcul du prix de règlement des écarts
Les principes de calcul du prix de règlement des écarts (PRE) permettent de renvoyer aux responsables d’équilibre une incitation financière sur leurs déséquilibres. Ils reflètent le coût des actions d’équilibrage menées par RTE pour équilibrer le système électrique français.
Pour chaque pas demi-horaire, le PRE est calculé en fonction de la tendance d’équilibrage, du prix moyen pondéré des activations (PMP), de la valeur applicable du coefficient « k », et du signe de l’écart du responsable d’équilibre (positif ou négatif).
L’écart est dit positif (respectivement négatif) si le solde [injection – soutirage] du périmètre du responsable d’équilibre est positif (respectivement négatif). Pour un PRE positif, le responsable d’équilibre est rémunéré par RTE (respectivement facturé) en cas d’écart positif (respectivement négatif).
Matrice des prix du règlement des écarts (PRE)
Cas où le prix moyen pondéré (PMP) est positif ou nul
Cas où le prix moyen pondéré (PMP) est négatif
- PMP H/B : prix moyen pondéré des énergies d’équilibrage activées respectivement à la hausse/baisse (cf. article 0.O.2.3 « Prix moyen pondéré » des « Dispositions générales » des Règles de Marché).
- La tendance est dite à la hausse si le déséquilibre global du système électrique est négatif ou nulle (i.e. quand le solde global France [injections – soutirages] du réseau est négatif), et à la baisse dans le cas contraire. Plus de détails pour le calcul de la tendance à l'article 0.O.2.2 « Tendance du système électrique français » des « Dispositions générales » des Règles de Marché.
- Nota 1 : Le PRE positif ne peut pas être supérieur au PRE négatif.
- Nota 2 : Le PRE négatif ne peut pas être inférieur au PRE positif.
La facturation des écarts de responsable d’équilibre
Tous les mois et pour chaque pas de règlement des écarts (aujourd’hui la demi-heure), RTE calcule les écarts des responsables d’équilibre et les factures au prix de règlement des écarts. La somme de la valorisation de chaque pas de règlement des écarts donne lieu à l’établissement d’une facture d’écarts mensuelle.
Avant la relève des compteurs à index des consommateurs, les responsables d’équilibre sont dans le processus « écarts », durant laquelle ont lieu les facturations M+1 à M+12. Chaque échéance de facturation M+X prend en compte une éventuelle mise à jour du PRE résultant de précisions et/ou de corrections sur les volumes d’équilibrage et/ou leurs prix.
Après la relève des compteurs à index des consommateurs a lieu le processus de « réconciliation temporelle » qui permet de recalculer les écarts de responsables d’équilibre à partir de données réalisées. Elle permet la facturation des responsables d’équilibre en octobre A +2 concernant la période de juillet A à juin A+1.
Processus de facturation pour les périodes antérieures au 1er janvier 2023
Processus de facturation pour les périodes postérieures au 1er janvier 2023
Evolution du coefficient k
Le coefficient « k » est un paramètre du prix de règlement des écarts. Il est défini de manière ex ante dans le but d’équilibrer les charges et les produits du compartiment énergie du compte ajustements-écarts sur la base d’un historique.
Pour les périodes antérieures au 1er janvier 2023
Depuis le 1er janvier 2019, la valeur ex ante du coefficient « k » a été fixée à 0,05. Cette révision avait été soumise par RTE à la CRE pour approbation.
Pour une année civile A donnée (par exemple 2020), le coefficient « k » est ensuite réévalué en A+2, à l’issue de la phase de « réconciliation temporelle » qui base la valorisation de l’énergie sur le prix de règlement des écarts (i.e. octobre 2022 en reprenant l’exemple), pour obtenir une valeur « k’ » ex post qui permet alors au compte ajustements-écarts d’atteindre le solde définitif fixé par la CRE (en pratique le solde visé est nul). Les factures définitives d’écarts des responsables d’équilibre sont recalculées de façon rétroactives avec le nouveau coefficient « k’ ». Cette opération donne lieu à un reversement aux responsables d’équilibre de la différence entre les factures définitives d’écarts et les factures d’écarts calculées préalablement avec le coefficient « k » ex ante.
Historique des coefficients « k » et « k’ » et des prix de règlement des écarts associés
Ce tableau ne concerne pas les périodes postérieures au 1er janvier 2023.
Pour les périodes postérieures au 1er janvier 2023
Un pilotage dynamique ex ante du solde du CAE est appliqué. Celui-ci repose sur la définition d’une fonction à même de répondre au double objectif de minimiser l’amplitude de variation du solde et de minimiser la volatilité du coefficient « k », tout en gardant la possibilité d’anticiper la variation de ce coefficient. Cette fonction est constituée de plusieurs paramètres dont les valeurs sont approuvées par la CRE sur la base d’une proposition de RTE.
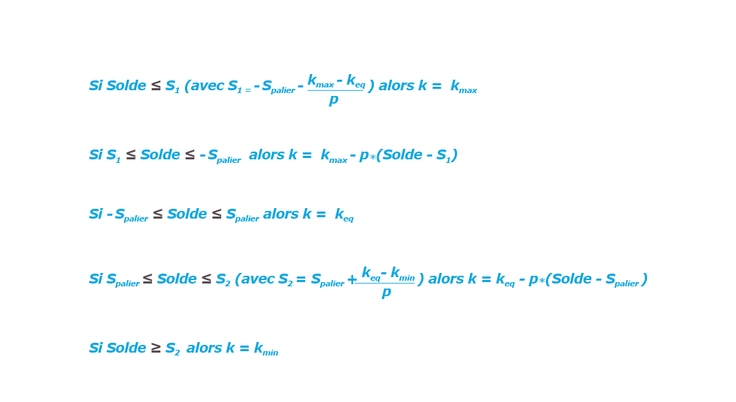
Sur la base de cette fonction, la valeur définitive du coefficient « k » pour un mois donné est calculée de manière ex ante et à une fréquence mensuelle. Plus concrètement, à chaque fin du mois M (par exemple fin mars 2023), le coefficient « k » applicable pour le mois M+3 (en juin 2023 selon l’exemple), est calculé sur la base du solde cumulé constaté à la fin du mois M pour la période allant jusqu’au mois M-1 inclus (février 2023 selon l’exemple). Ce calcul du coefficient « k » est réalisé selon les formules suivantes.
Dans les formules ci-dessous, kéquilibre est noté keq.
Par exemple, s’il est constaté à la fin du mois de septembre, que le solde cumulé pour la période allant jusqu’au mois d’août est compris entre les valeurs - Spalier et Spalier, alors la valeur applicable du coefficient « k » pour le mois de décembre sera égale à keq.
En partant d’un autre exemple, s’il est constaté à la fin du mois de septembre, que le solde cumulé pour la période allant jusqu’au mois d’août est supérieur à la valeur Spalier (et inférieur à la valeur S2) alors la valeur applicable du coefficient « k » pour le mois de décembre sera égale à keq-p*(Solde - Spalier ).
Conformément à la délibération de la CRE, les valeurs suivantes ont été approuvées dans le but de définir la fonction de pilotage du solde du CAE :
- Valeur absolue de la pente de la fonction (i.e. « p ») égale à 0,0015 / M€
- Valeur du coefficient de référence pour le palier stabilisateur (i.e. « keq ») égale à 0,045
- Valeur du coefficient k minimum (i.e. « kmin ») égale à zéro
- Valeur du coefficient k maximum (i.e. « kmax ») égale à 0,200
- Montant du solde qui encadre le palier stabilisateur (i.e. « Spalier ») égal à 5 M€.
Pour initier ce nouveau pilotage, le solde du CAE est par définition nul. Ainsi, la première valeur du coefficient « k » qui est appliquée pour janvier 2023 correspond à la valeur du keq. Selon le processus de pilotage appliqué, et pour le lancement de ce nouveau processus de pilotage, la première valeur du coefficient « k » qui peut différer du keq correspond à la valeur applicable au mois de mai 2023 (i.e. calculé fin février sur la base du premier solde cumulé constaté pour janvier 2023).
Schématiquement, le nouveau processus devrait suivre l’enchainement ci-dessous en garantissant continuellement une valeur définitive du coefficient « k » applicable pour le mois M+3 (i.e. pour toutes les échéances de facturation qui concernent ce mois de livraison). Ainsi, il convient de noter que pour chaque mois Mi correspond un ki qui sera la valeur de référence définitive utilisée pour la valorisation des écarts sur le mois Mi considéré.
Aucun rejeu ex post du coefficient « k » (i.e. calcul du coefficient « k’ ») n’est appliqué pour ce pilotage dynamique ex ante.
Il est possible d’accéder aux publications de solde du CAE et aux valeurs applicables du coefficient « k » sur la page Téléchargez les données publiées par RTE. Pour cela, il suffit de sélectionner la catégorie « Marché », puis le type « Compte Ajustement-Ecart », et enfin « Fichier mensuel de publication ». Il est également possible d’utiliser une API afin d’accéder à la valeur applicable du coefficient « k » tel qu’indiqué sur la page Balancing Imbalances Account du Portail Data.
Le compartiment « énergie » du compte ajustements-écarts (CAE)
Le compartiment « énergie » du compte ajustements-écarts (CAE) comptabilise les charges et les produits issus des mécanismes de responsable d’équilibre et d’équilibrage. Il permet de suivre l’évolution du solde du CAE et ainsi de le piloter, en (1) restituant les trop-perçus ou (2) en facturant le solde négatif aux responsables d’équilibre, via l’évolution de la valeur du coefficient « k ».
Le compartiment « énergie » du CAE comprend les flux financiers relatifs :
- au règlement des écarts des responsables d’équilibre ;
- aux ajustements et contre-ajustements après déduction (respectivement ajout) des surcoûts des ajustements à la hausse (respectivement baisse) activés pour traitement des congestions, reconstitution des services système ou des marges, des écarts d’ajustements négatifs (respectivement positifs) ;
- aux factures émises par RTE aux plateformes (et vice-versa) pour les échanges d’énergie d’équilibrage dans le cadre de listes de préséance économique communes ;
- aux pénalités pour défaillance et aux compensations pour non-respect des conditions d’utilisation des offres du mécanisme d’ajustement ;
- aux énergies de réglage (réserves primaire et secondaire) ;
- au solde des déséquilibres entre GRT (imbalance netting) ;
- aux factures émises par d’autres GRT à RTE (et vice-versa) pour les compensations financières des écarts aux frontières dans la zone continentale synchrone.
Compléments